依替巴肽联合血栓切除术治疗大血管闭塞所致急性缺血性脑卒中的配对对照分析
机械性的血管切除术(MT)正在成为许多国家大血管闭塞卒中的常规治疗。在接受MT的急性缺血性脑卒中的患者中,辅助抗血栓可能改善血管造影再灌注,降低远端栓塞和再闭塞的风险,但可能使患者面临更高的颅内出血风险。糖蛋白IIb/IIIa抑制剂(GPIs),包括阿昔单抗、替罗非班和依替非巴肽等是快速作用、可逆和高选择性的抗血栓药物。但是,大量的研究均评估的是替罗非班的效果,很少有依替非巴肽在治疗急性缺血性脑卒中的安全性和有效性的相关研究。
首都医科大学附属北京天坛医院缪中荣教授团队在《Stroke》上发表了题为“Combined Approach to Eptifibatide and Thrombectomy in Acute Ischemic Stroke Because of Large Vessel Occlusion: A Matched-Control Analysis”的临床试验研究。该研究评价了机械性血栓切除术(MT)联合依替巴肽治疗急性缺血性脑卒中的安全性和有效性。

一、研究方法
该研究的研究对象来自下面两项对中国人群的前瞻性试验研究:2017年11月至2019年3月在111家医院进行的ANGELACT试验(急性缺血性卒中血管内治疗关键技术和紧急工作流程改善),以及2019年4月至2020年3月在15家医院进行的EPOCH试验(依替巴肽在急性缺血性卒中血管内治疗中的应用)。对两个队列的受试者进行倾向性评分匹配分析,主要疗效结局为3个月时良好结果(mRS评分0-2),次要疗效结局包括3个月mRS评分的分布、不良结局(mRS评分5-6分)和成功再通。安全性结局包括任何颅内出血、症状性颅内出血和3个月死亡率。使用混合效应逻辑回归模型解释调整分析中的医院内聚类。

图1. 研究流程
二、研究结果
81名ANGELACT受试者与81名EPOCH患者相匹配。与未使用依替巴肽组相比,依替巴肽组的再通成功率显著较高(91.3%比81.5%;P=0.043)并且3个月的良好结果(53.1%对33.3%;P=0.016)更多。两组之间的其余结果指标没有发现显著差异(P>0.05)。

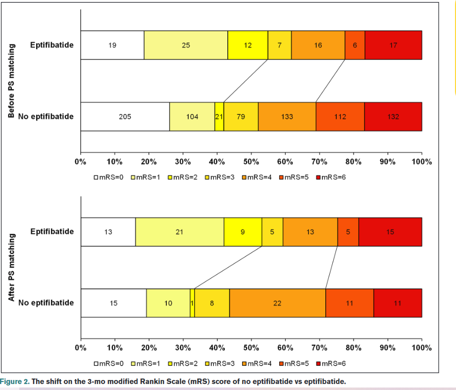
图2. 两组患者在倾向性评分匹配前后的mRS评分分布
在对预匹配人群进行调整分析后,该研究还发现依替巴肽组的患者有更高的成功再通率(93.1%对86.3%;P=0.022)和3个月的良好结果(54.9%对42.0%,P=0.003)。两组间其他指标差异无统计学意义(P>0.05)。

图3. 疗效和安全性结局
三、研究结论
这项配对对照研究表明,与单独使用MT相比,MT联合使用依替巴肽不会引起重大的安全性问题,并且显示出更好的疗效结果趋势。总的来说,当与MT联合使用时,依替巴肽显示出作为围手术期辅助抗血栓治疗的潜力。应优先考虑MT加依替巴肽的进一步随机对照试验。该
研究评价了机械性血栓切除术(MT)联合依替巴肽治疗急性缺血性卒中的安全性和有效性,打破了以往大量的研究均评估的是替罗非班的效果造成的局限,为急性缺血性卒中的治疗提供了新的方案。